A tree for site navigation will open here if you enable JavaScript in your browser.
Idąc dalej, jeżeli mamy zwarty wirnik:
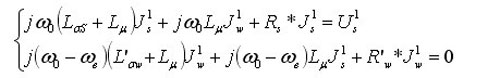
i przyjmując stałą prędkość obrotową otrzymujemy liniowy układ równań. Przewidując prądy ustalone:
po podstawieniu do wcześniej wyprowadzonych równań i dokonując przekształceń otrzymujemy równania algebraiczne: